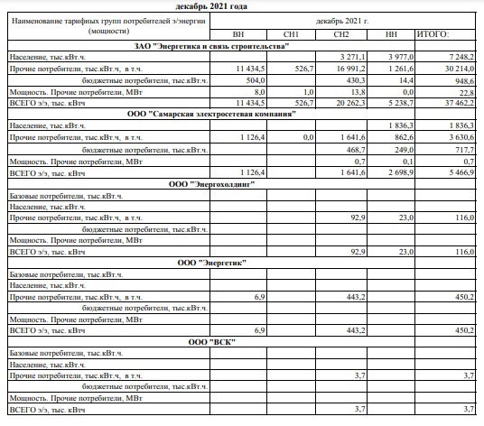
Энергетики предоставляют сведения в соответствии с пунктом 45 (г) постановления Правительства РФ № 24 от 21 января 2004 года "Об утверждении стандартов раскрытия информации субъектами оптового и розничного рынков электрической энергии". Информация об объеме отпуска электроэнергии и мощности представлена по тарифным группам и по уровням напряжения.
фото: предоставлено ООО "ТольяттиЭнергоСбыт"
